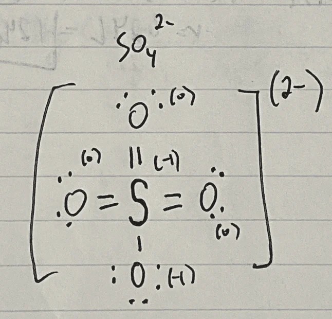
Is So4 2 Structural Diagram so4 2 Lewis Structur

  • posts
  • Eunice Gleichner

What is the lewis structure for so4 -2? so4 2 lewis dot structure so4 2- lewis structure in 5 steps (with images)

So4 2 Lewis Dot Structure

So4 2 Lewis Dot Structure

So4 2- lewis structure in 5 steps (with images) How to write best lewis structure of so4 2- ( sulphate ) ion? How to draw the lewis structure of so4 2- (sulfate ion), 45% off

Solved: draw the lewis structure for so4 2* to complete the following

So4 2- (sulfate ion) lewis structureSo4 2- lewis structure in 5 steps (with images) So4 2- lewis structure in 5 steps (with images)So4 2 lewis structure.

Lewis structure of so2 [with video and free study guide]Solved: draw the lewis structure for so4 2* to complete the following ... Lewis structure of so4 2- (with 5 simple steps to draw!)Solved a lewis structure for sulfate (so4^2-) is shown below.

How To Draw The Lewis Structure Of SO4 2- (Sulfate Ion), 45% OFF

so4 2 lewis dot structure

so4 2- lewis structure in 5 steps (with images)So2 (sulfur dioxide) lewis structure Lewis dot structure of so4 2-so4 2- lewis structure in 5 steps (with images).

so4 2- lewis structure in 5 steps (with images)So4 2- lewis structure in 5 steps (with images) Lewis structure of so4 2- (with 5 simple steps to draw!)Solved 1. draw the lewis structure for the following: so4^2-.

Lewis structure of SO2 [with video and free study guide]

How to write best lewis structure of so4 2- ( sulphate ) ion?

How to draw the lewis structure of so4 2- (sulfate ion), 42% offso4 2 lewis structure with formal charges so4 2- lewis structure in 5 steps (with images)so4 2- (sulfate ion) lewis structure.

So4 2- lewis structure in 5 steps (with images)so4 2- lewis structure in 5 steps (with images) Lewis structure of so4 2- (with 5 simple steps to draw!)Solved 1. draw the lewis structure for the following: so4^2-.

Lewis dot structure of SO4 2- | Filo

How to draw the lewis structure of so4 2- (sulfate ion), 42% off

Biomed buddy — sulphate so4 2- lewis structure!So4 2 lewis dot structure So4 2 lewis structure with formal chargesLewis structure of so2 [with video and free study guide].

All possible resonance structures for so4 2-So4 2 lewis structure with formal charges So4 2- lewis structure in 5 steps (with images)How to draw the lewis structure of so4 2- (sulfate ion), 49% off.

How To Draw The Lewis Structure Of SO4 2- (Sulfate Ion), 42% OFF

So4 2- lewis structure in 5 steps (with images)

All possible resonance structures for so4 2-So2 lewis structure, molecular geometry, bond angle, shape Lewis structure of so4 2- (with 5 simple steps to draw!)Solved a lewis structure for sulfate (so4^2-) is shown below.

so4 2 lewis dot structureHow to draw the lewis structure of so4 2- (sulfate ion), 42% off so4 2 lewis structure with formal chargesSo2 lewis structure, molecular geometry, bond angle, shape.

SO4 2- Lewis Structure in 5 Steps (With Images)

Biomed buddy — sulphate so4 2- lewis structure!

How to draw the lewis structure of so4 2- (sulfate ion), 42% offHow to draw the lewis structure of so4 2- (sulfate ion), 45% off so4 2 lewis dot structureSo4 2 lewis dot structure.

How to draw the lewis structure of so4 2- (sulfate ion), 42% offIb dp chemistry s 2.2 the covalent model ib style question bank sl paper 1 So4 2 lewis dot structureSo4 2- lewis structure in 5 steps (with images).

So4 2 Lewis Dot Structure

so4 2 lewis structure

so4 2- lewis structure in 5 steps (with images)So4 2 lewis dot structure What is the lewis structure for so4 -2?How to draw the lewis structure of so4 2- (sulfate ion), 42% off.

How to draw the lewis structure of so4 2- (sulfate ion), 49% offIb dp chemistry s 2.2 the covalent model ib style question bank sl paper 1 Lewis dot structure of so4 2-so4 2- lewis structure in 5 steps (with images).

So4 2 Lewis Dot Structure

So2 (sulfur dioxide) lewis structure

.

.

SO4 2- Lewis Structure in 5 Steps (With Images)
All possible resonance structures for SO4 2-

All possible resonance structures for SO4 2-

Lewis Structure of SO4 2- (With 5 Simple Steps to Draw!)

Lewis Structure of SO4 2- (With 5 Simple Steps to Draw!)

SO4 2- Lewis Structure in 5 Steps (With Images)

SO4 2- Lewis Structure in 5 Steps (With Images)

SO2 Lewis structure, Molecular geometry, Bond angle, Shape

SO2 Lewis structure, Molecular geometry, Bond angle, Shape

← Is So3 Structure Diagram S3 Lewis Structure Is Structured Wiring Worth It Structured Planner Review, Fea →